안녕하세요 후니입니다!
오늘은 아웃포커싱 기법에 대해 알아보고자 포스팅을 하게 되었습니다.
사진에 관심이 많이 없으신 분들도 다들 아웃포커싱에 대해서는 한 번씩 들어보셨을 것입니다.
보통 아웃포커싱은 피사계 심도를 얕게 하여 초점이 맞는 피사체는 제외하고는 앞뒤의 배경을 흐리게 만들어 피사체를 부각하는 사진 기법입니다. 또한, 사진뿐만 아니라 드라마나 영화 등 영상에서도 자주 사용되는 기법입니다.

위의 사진을 보시면, 초점이 잡힌 피사체를 제외한 앞에 다른 피사체나 뒤의 배경을 흐리게 날림으로써 피사체에 집중할 수 있는 사진이나 영상을 촬영할 수 있습니다.
1. 피사계 심도
제가 앞서 피사계 심도에 대해서 언급한 적이 있습니다. 피사계 심도의 뜻은 카메라에서 초점이 맞은 것으로 인식되는 앞, 뒤의 범위를 뜻합니다. 즉 그 범위가 좁으면 해당 피사체 주변만 초점이 맞고 나머지는 흐려지고, 범위가 넓으면 피사체와 배경 모두 초점이 맞게 되는 것입니다. 그 범위가 좁고 넓음에 따라 피사계 심도가 얇다, 깊다고 표현할 수 있습니다.
아웃포커싱이라는 말은 많이 들어보셨지만 피사계 심도라는 말은 익숙하지 않으실 것입니다. 사실 아웃포커싱이라는 말은 외국에서는 존재하지 않는 콩글리쉬입니다. 영어권 국가에서는 shallow depth of field 줄여서 shallow DOF라는 말을 씁니다. 여기서 말하는 DOF가 우리말로 피사계 심도입니다. 즉, 우리가 사용하는 아웃포커싱이라는 용어가 내포하고 있는 뜻은 얕은 피사계 심도(shallow DOF) 를 의미합니다.
2. 피사계 심도 공식
이 부분은 피사계 심도가 어떻게 도출되는지에 대해서 알아보겠습니다. 사실 밑에 피사계 심도 3요소를 간단하게 요약해놨기 때문에 복잡한 것 싫으신 분은 3번으로 바로 넘어가 주시면 되겠습니다. 설명충이라 죄송합니다.

위 그림은 많은 것들을 내포하고 있는데, 간단히 말씀드리면, C의 범위가 광학적으로 피사계 심도의 범위입니다.
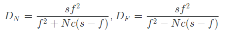
초점거리=f, 피사체까지 거리=s, 렌즈 조리개 값=N, 유효 구경(조리개/초점거리)=d라고 했을 때,
피사계 심도의 한계인, Dn(가까운 쪽)과 Df(먼쪽)는 아래와 같이 식이 구성됩니다.

여기서 먼쪽에서 가까운 쪽을 빼주면 DOF가 계산됩니다. Df-Dn = DOF
한편 여기서 과초점 거리를 계산할 수 있습니다.
여러분 중에서 촬영 시 분명히 조리개를 최대 개방했는데, 아웃포커싱이 하나도 안 잡히고 피사체의 초점이 다 맞는 것을 경험한 적이 있었을 것입니다. 그 이유가 바로 여기에 있습니다.
위의 그림에서 카메라와 해당 피사체의 거리인 s가 충분히 멀어지면 Df의 값이 무한대가 되는데, 이때의 초점거리를 과초점 거리라고 합니다. 과초점 거리를 H로 놓았을 때,

이고, 이것을 Dn으로 풀어주었을 때,

이렇게 식이 도출될 수 있습니다. 따라서 촬영거리가 과초점 거리 이상이 될 경우에는 촬영 시 과초점 거리의 절반부터 무한대까지 피사계심도 내에 들어오게 되는 것을 알 수 있습니다. f값은 보통 mm단위인데 H는 수 m에서 수십mm이기 때문에 f값은 무시될 수 있습니다.
3. 피사계 심도 3요소
위에서 복잡하게 이것저것 설명해드렸지만, 간단하게 요약하면 사진 촬영에 있어 피사계 심도를 컨트롤하는 요소는 크게 3가지가 있습니다. 익숙해지시면, 아웃포커싱을 자유자재로 활용하는 사진을 촬영하실 수 있을 것입니다.
간단하게 요약해 드리면,
첫 번째, 조리개를 열수록 심도가 얇다 - 아웃포커싱 ↑

카메라에서 조리개 값은 F로 조절할 수 있습니다. F가 낮을수록 조리개가 개방되는 것이고 F값이 높을수록 조리개가 닫힙니다. 소위 말하는 단렌즈로 촬영 시 아웃포커싱이 잘되는 이유가 바로 이것입니다.
렌즈 설계상 줌렌즈로 F가 낮은 렌즈를 만들기 어렵기 때문에, F4 혹은 F2.8까지가 일반적입니다.
하지만 단렌즈로 제작 시 초점거리가 고정되는 단점이 있지만, F값을 1.8 혹은 1.4로 낮춰 제작하여 조리개가 많이 열리는 렌즈가 제작 가능합니다.이 단렌즈들이 아웃포커싱이 더 잘되고 더 밝은 렌즈라고 불리는 이유입니다.
최근에 소니 단렌즈를 구매하면서 리뷰를 남겼는데 참고해주시면 좋을 것 같습니다 :)
두 번째, 촬영 거리가 가까울수록 심도가 얇다 - 아웃포커싱 ↑

피사체와의 거리가 가까울수록 아웃포커싱이 잘됩니다. 접사 시에 아웃포커싱이 잘되는 것도 이유도 이것입니다. 또 하나의 팁을 드리자면, 촬영하고자 하는 피사체는 가까이 두고 뒤에 배경이나 날리고 싶은 다른 피사체들을 멀리 위치하게 한다면 아웃포커싱 효과를 더욱 극대화하실 수 있습니다. 적정 피사계 심도에서 벗어날수록 초점이 안 맞게 되어 더욱 흐려지기 때문입니다.
세 번째, 초점 거리가 길수록 심도가 얇다 - 아웃포커싱 ↑

초점 거리에 대해 헷갈리실 수도 있는데, 초점거리는 피사체와는 무관하게 렌즈와 센서 사이의 거리를 말합니다. 렌츠를 칭하는 50mm 렌즈다, 85mm 렌즈다 하는 표현에서 이 거리는 초점거리를 뜻합니다. 초점거리가 길수록 클로즈업되기 때문에 심도가 얕은 사진을 얻을 수 있으므로 아웃포커싱이 더 잘됩니다.
사실 초점거리를 논할 때에는 아웃포커싱보다는 화각에 대해서 많이 언급이 됩니다. 위의 그림에서 처럼 망원, 표준, 광각과 같은 화각과 초점거리에 대해서도 설명드리자면 엄청 길어지기 때문에 제 이전 게시글을 보시면 좋을 것 같습니다. 풀프레임 화각과 크롭 화각에 대해 비교한 설명도 있으니 참고 부탁드립니다 :)
이제까지 피사계 심도 개념을 통해 아웃포커싱이 되는 원리들을 알아보았습니다.
다음에는 더 알찬 정보로 찾아뵙겠습니다!
'사진학 & 카메라' 카테고리의 다른 글
| 역광 사진 잘 찍는 법 - 적정 노출, 측광 이해 및 활용하기 (0) | 2020.05.14 |
|---|---|
| 소니 a7m3 풀프레임 미러리스 추천 / 카메라 리뷰 언박싱 - ILCE-7M3 (0) | 2020.05.12 |
| 소니 풀프레임 렌즈 추천 - sel55f18z 리뷰 및 언박싱 (feat. 단렌즈, 여친렌즈) (0) | 2020.05.11 |
| 화각이란 무엇일까? - 초첨거리에 따른 렌즈군 (feat. 환산화각 풀프레임 vs 크롭) (0) | 2020.05.11 |
| 소니 표준 줌렌즈 추천 시그마 2470 dg dn 리뷰 및 언박싱- SIGMA A 24-70mm F2.8 DG DN SONY FE (feat.시계륵, A7M3) (0) | 2020.05.11 |